研发追踪
瞪羚社
2026-01-10
2366
乙肝适应症迎来新的玩家!GSK今日宣布,其与Ionis Pharmaceuticals合作开发的在研反义寡核苷酸(ASO)疗法bepirovirsen,在用于治疗慢性乙型肝炎(HBV)的两项关键性3期临床试验B-Well 1和B-Well 2中取得积极结果。两项试验均达到主要终点。
当传统疗法还需要终身服药还几乎无法达到功能性治愈时,bepirovirsen正在带来差异化的疗效。但是更加值得关注的,或许是小核酸的下一代疗法siRNA疗法在乙肝上的布局。它或许才是最终的破局者
通过siRNA疗法,乙肝患者临床治愈或许不再是梦,传统治疗逻辑有可能带来范式转变。
01
乙肝与新型疗法
慢性乙型肝炎(CHB)是由乙型肝炎病毒(HBV)持续感染引起的一种长期肝病,基本定义的方式是患者体内乙肝表面抗原(HBsAg)在血清中持存在至少六个月。根据瑞博生物招股书文件根据弗若斯特沙利文的资料,80%至90%的一岁婴儿和30%至50%的六岁及六岁以下童感染乙肝病毒(HBV)后会发展为慢性乙型肝炎(CHB),在未经治疗的CHB患者中,约有20%至30%可能会转化为肝硬化和肝癌。尽管有乙肝疫苗,但据估计,在未来十年,全球每年仍有至少2.6亿人感染乙肝(存量空间),在欧盟及中国,2024年分别有810万人及6760万人患有慢性乙型肝炎。
乙肝治愈分为两种,一种是完全治愈:肝内和血清HBV DNA清除(包括肝内cccDNA和整合到人基因组的HBV DNA基因片段),目前技术水平条件下,没有药物做到完全治愈,这是因为乙肝病毒复制的根源DNA——cccDNA,持续存在于肝细胞的细胞核内,目前所有可用的抗乙肝病毒药物,均不能够有效清除掉这个“根源”。而整合到人基因组的HBV DNA基因片段,目前也无法有效清除。因此现在主要追求的是功能性治愈(即临床治愈):指完成有限疗程治疗后,血清乙肝表面抗原和HBV DNA持续检测不到,残留cccDNA可持续存在。
目前乙肝的传统疗法我们也在瞪羚社此前的文章中做过梳理,一种是核苷(酸)类似物,一种是抗病毒干扰素(IFN)。核苷酸类似物比较典型的是恩替卡韦,作用机制是直接抑制DNA聚合酶,从而抑制病毒的复制,它是目前乙肝患者的首选一线疗法,然而,对于大部分乙肝患者而言,该种疗法需要长期甚至终身服药,仅仅1%-5%的患者能够实现功能性治愈。哪怕是功能性治愈,目前都如此困难。而干扰素疗法则是刺激免疫系统攻击病毒,虽然功能性治愈率更高,但是疗效持续时间有限,并且由于对免疫系统的刺激,将会导致更多的副作用。

现在乙肝领域,急需新的疗法。其中一种新型疗法是广生堂的GST-HG131和GST-HG141的联用疗法路线,将GST-HG141和GST-HG131结合起来看,一条管线不仅能够干扰HBV核衣壳的装配过程,还能触及到根本的cccDNA数量的遏制,另一条管线则能触及到该病毒外壳的组装。两条管线联用已经在临床IIa期试验中展示了非常惊艳的临床效果。
而另外的新型疗法,就是小核酸了。其代表不仅包括ASO路线,还包括siRNA路线。而现在ASO路线已经率先做出了成果。ASO的机制为:ASOs进入感染的肝细胞后,既可与cccDNA 转录产生的HBV RNA结合,也可与整合来源的转录本结合,在有效抑制病毒抗原翻译的同时,也抑制了pgRNA的逆转录,使感染肝细胞外泌的 Dane 颗粒、RNA样病毒颗粒、裸衣壳、亚病毒颗粒及HBeAg全部减少,有效降低包括血清HBsAg在内的所有病毒学指标。在直接和间接途径都有效抑制了乙肝病毒复制和表达。

市场方面,其实弗若斯特沙利文对未来几年内全球HBV药物的增长规模还是较为乐观的,2024年-2029年复合增长率将达到16.5%,2029-2034年复合增长率为11.6%,到2034年,预估全球乙肝市场将达到778亿美元。这个数字是很惊艳的,相当于2024年乙肝市场的近4倍。并且大概率中国是其中主要的增长点,因为它有着全球最大规模的乙肝人群。

02
ASO的率先数据验证
bepirovirsen是Ionis研发的ASO类药物。2019年,在看到了二期临床数据的积极结果后,GSK行使了期权,拿到了该药的开发、监管和商业化活动权利。根据协议,Ionis有资格获得高达2.62亿美元的许可费和里程碑付款,以及净销售额的低两位数阶梯式特许权使用费。其中许可费为2500万美元,这就带来一个问题,如果乙肝市场真的在数百亿美元的话,作为新型疗法第一个举起火把的人,Ionis是否把bepirovirsen卖的太便宜了?这个问题我们在文章最后解答。
这个问题先放在一边,我们先来拆解它的临床数据,2022年该药的临床IIb期数据发表在了NEJM上。实验设计如下图所示:参与者按3:3:3:1的比例随机分配至以下四组:第1组,每周皮下注射贝匹罗韦生300 mg,持续24周;第2组,先皮下注射bepirovirsen 300 mg,持续12周,然后皮下注射bepirovirsen 150 mg,持续12周;第3组,先皮下注射bepirovirsen 300 mg,持续12周,然后皮下注射安慰剂12周;第4组,先皮下注射安慰剂12周,然后皮下注射bepirovirsen 300 mg,持续12周。

主要复合疗效终点为:在未开始使用任何抑制HBV复制的药物的情况下,计划结束bepirovirsen治疗后24周内,HBsAg水平低于检测下限(0.05
IU/mL)且HBV DNA水平低于定量下限(20 IU/mL)(第1、2和3组)。第1、2 和 3
组有各约66名接受NA(核苷类似物)治疗的参与者和66名未接受 NA 治疗的参与者,第4组有约22名接受NA治疗的参与者和22名未接受 NA
治疗的参与者。纳入第4组(安慰剂先行组)是为了评估负荷剂量的效果以及前12周的安全性,但该试验的样本量不足以评估该组的主要终点。
在第1组中,总的参与者中有9%达到主要终点。基线时HBsAg水平较低(≤3 log10 IU/mL)的受试者中,接受核苷(酸)类似物(NA)治疗的受试者中有16%发生主要终点事件,而未接受NA治疗的受试者中这一比例为25%;相比之下,基线时HBsAg水平较高(>3 log10 IU/mL)的受试者中,这两个比例分别为6%和7%。这其实是个非常诡异的点,在HBsAg水平较低的患者中,居然是没接受NA治疗的患者达到主要终点的水平更高,而且高这么多。
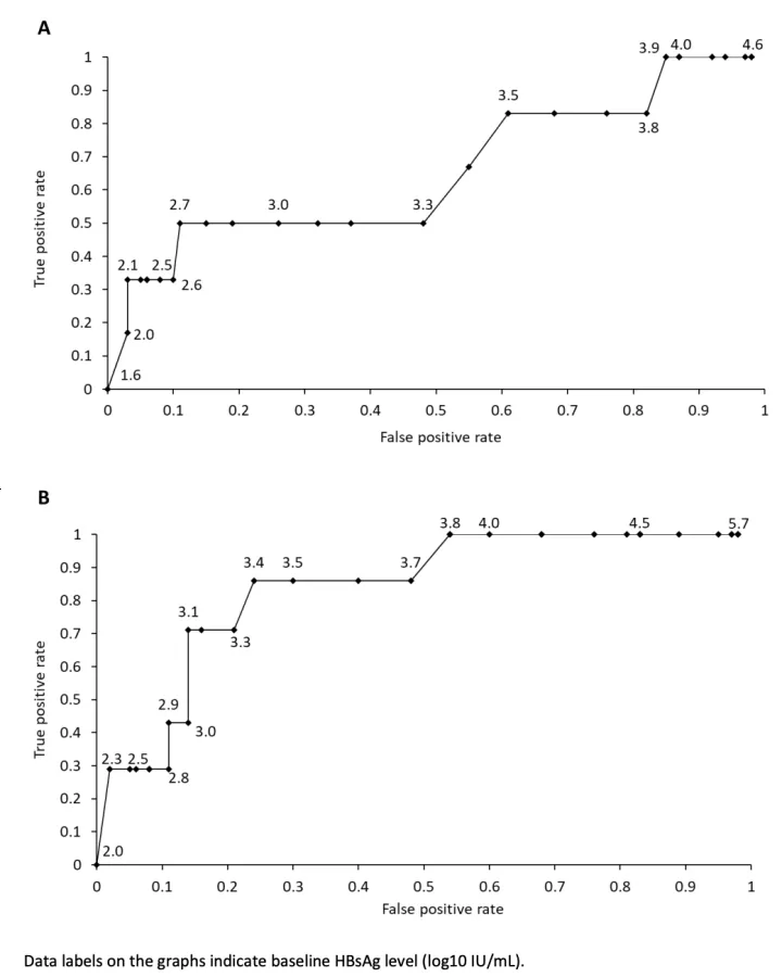
第1组的受试者工作特征曲线(ROC)分析表明,基线时HBsAg水平约为3000 IU/mL(3.5 log10 IU /mL)可能是预测疗效的合适临界值,如下图所示。

在第1组中,每毫升3000
IU或更低的临界点,接受NA治疗的43名参与者中有5名(12%)发生了主要终点事件,未接受NA治疗的24名参与者中有6名(25%)发生了主要终点事件。
第二组总的达到主要终点人数比例同样也是9%,第三组就比较惨了,只有两人达到主要终点,人数为3%。
其它数据来看,在第1组中,接受NA治疗的43名参与者(63%)和未接受NA治疗的41名参与者(59%)在治疗结束时HBsAg水平低于100 IU/mL;治疗结束后24周,两组分别有26名(38%)和20名(29%)参与者的HBsAg水平低于100 IU/mL,24周后,能保持疗效的患者分别在40%和30%不到。大概随着时间变化,体内IU水平区间患者分别占比如下图所示。上文中我们所说的那个诡异的点从下图的时间节点来看,随着随访时间的推移,会慢慢显得合理,在治疗后4周的时间节点时接受NA治疗的话,46%的患者HBsAg水平会低于10IU/ml,而不接受NA治疗的话,只有40%的患者能低于这个数字。最后到了24周时,接受NA治疗的患者只有37%的比例HBsAg水平超过37IU/ml,而不接受NA治疗的患者这个数字高达51%。
从这里笔者还是希望强调在ASO治疗之后,用NA药物维持治疗的重要性。

从ASO的疗效上来看,ASO在治疗乙肝上或许只能称之为量变,稍微更高地提高了临床治愈比例,但是还没到极大程度提高临床治愈比例的地步,更没有到彻底治愈乙肝的地步。
03
下一程——siRNA
下一程应该siRNA来接力了。目前共有7款药物进入临床II期及以后的阶段。

siRNA疗法方面,Alnylam的Elebsiran已经发布了临床II期数据,主要是联合IFN治疗与IFN单药治疗对比的疗效差异。
第一部分是一项随机研究(队列 1-3),旨在评估在病毒载量受到抑制的慢性乙型肝炎病毒感染患者中,elebsiran联合PEG-IFNα与PEG-IFNα单药治疗相比的疗效和安全性。第二部分是一项单臂研究(队列 4),旨在评估在BRII-179-835-001研究中已完成9剂elebsiran和BRII-179(一种治疗乙肝的疫苗)治疗的患者中,elebsiran 联合PEG-IFNα 的疗效。在之前的研究中,根据受试者在第44周时的抗-HBs抗体峰值滴度(分别为≥10IU/L和<10 IU/L),将这些受试者分为BRII-179抗-HBs应答者和非应答者。
第一部分临床的主要结果如下图所示,在第三剂量组中,治疗结束时HBsAg消失的参与者人数达到了33.3%,并且在治疗结束的24周后,人数还是33.3%,这个疗效持久性就明显要比ASO更好,并且第三组的剂量是低于第二组的(100mg vs 200mg)。

前三个队列中HBsAg的血清水平浓度变化如下图所示,我们可以看到队列3的效果非常惊艳,哪怕在72周时,HBsAg血清浓度<0.05
IU/ml的人数占比也达到了1/3。相比而言,bepirovirsen在治疗后24周时,HBsAg浓度低于0.05
IU/ml的人数占比只有12%和14%。

结语:从目前的临床数据综合来判断的话,我们有理由认为目前ASO疗法治疗乙肝只是传统疗法和siRNA疗法的一个中间产物,siRNA疗法相比于ASO疗法疗效更好而且持续时间要久很多。因此,bepirovirsen那低的可怜的里程碑付款也就不足为奇了。
但乙肝本身仍然是一个非常巨大的蓝海市场,这是无可置疑的,只是这个市场ASO疗法吃不下,只能靠后一代的siRNA疗法去吃了。
研发追踪
药渡
2026-05-27
533
研发追踪
医药笔记
2026-05-26
467
研发追踪
佰傲谷BioValley
2026-05-26
483
热门资讯