产业资讯
药渡Daily
2025-02-20
4460
2022年接受某次专访时,映恩生物的CEO朱忠远博士谈到:将直面创新药2.0时代,聚焦创新ADC药物的开发。
彼时下一代HER2 ADC药物DS-8201才刚刚上市3年,全球ADC药物的浪潮还处在爆发前夜,映恩的大多数ADC药物也尚处在临床前,人们很难对这家仅成立3年的公司有太多的关注。
然而自2023年起与BioNtech的多笔ADC药物交易,让映恩一跃成为全球最受关注的ADC biotech,并持续成为ADC药物领域的新锐力量。截止到目前,映恩生物已建立13条ADC管线,7款进入临床,1款处于III期临床,7款产品进行了授权。除了单抗ADC,映恩生物还开发了多个双抗ADC和自免ADC创新产品,管线高度丰富。映恩生物ADC管线

来源:整理自映恩招股说明书
映恩生物以最清晰的biotech定位,以策略为王,技术驱动,在没有一款产品获批上市情况下,已经取得了超25亿元的授权收入,协议总价值超过40亿美金,可以说映恩生物不仅仅是ADC药物开发方面的典范,更是全球biotech运营的经典案例,本文简要梳理其ADC药物开发。
再梳理具体产品之前,需要进一步解析映恩生物是如何在短时间构建如此丰富的ADC的管线的。面对以DS-8201为代表的新一代拓扑异构酶抑制剂毒素的ADC浪潮时,映恩首先认定了新型的毒素的开发为其公司开发新型ADC的根本。
和其他公司策略一样,映恩生物在第一三共Dxd的基础上,筛选出了两款自主知识产权的拓扑异构酶抑制剂毒素P1003和P1021,然后通过内外部的资源组合快速构建了其丰富的ADC管线,短时间挤入第一研发阵营。
映恩生物的两款自主拓扑异构酶抑制剂毒素

来源:映恩专利
1
DB-1303
赋能到具体产品,DB-1303是映恩开发的首款ADC药物,靶向HER2,采用曲妥珠单抗,通过基于马来酰亚胺四肽的可裂解连接子,与拓扑异构酶I抑制剂有效载荷P1003共价连接,DAR值为8,和DS-8201整体构建类似。DB-1303于2022年1月首次申请临床,目前最快进度为临床III期。
DB-1303产品结构

来源:整理自映恩招股说明书
2023年ASCO会议期间,映恩首次公布了DB-1303在其I/IIa期全球临床试验的初步结果。截至2023年1月13日,在HER2表达实体瘤患者中,所有剂量水平的未确认的ORR及DCR分别为44.2%及88.5%,既往的治疗线数中位数为7(包括既往接受过HER2 ADC方案)。
DB-1303全球I/IIa期临床试验初步结果

来源:BioNtech官网
在接受过大量预先治疗的HER2低表达乳腺癌患者中,DB-1303的ORR及DCR分别为38.5%及84.6%;在接受过大量预先治疗的HER2阳性乳腺癌患者中,DB-1303的ORR及DCR分别为50%及96.2%。
基于以上在乳腺癌中的优异临床表现,映恩生物已经分别启动了一项HER2低表达、激素受体阳性转移性乳腺癌和一项HER2阳性不可手术切除/转移性乳腺癌两项III期注册性临床。
在随后的2023 ESGO会议上,映恩生物再次报告了DB-1303在晚期/转移性子宫内膜瘤(包括浆液性瘤及癌肉瘤)中的临床数据。截至2023年5月8日,有17名患者可评估其缓解情况,其中10名患者(58.8%)出现部分肿瘤客观缓解。7mg/kg及8mg/kg剂量患者的ORR分别为50.0%(2/4)及61.5%(8/13)。总DCR为94.1%。
DB-1303子宫内膜瘤临床试验初步结果

来源:BioNtech官网
基于以上临床结果,为了加速DB-1303的快速上市,映恩采用了差异性的临床策略,将子宫内膜瘤探索为首发适应症,2023年9月启动了针对HER2表达子宫内膜瘤的潜在注册研究(NCT05150691),2023年12月被FDA授予突破性疗法认定,其预计最快在2025可以取得FDA批准上市,值得期待。
安全性方面,临床前数据显示,DB-1303在食蟹猴中的HNSTD为80mg/kg,而报告的DS-8201 HNSTD为30mg/kg。在同一项研究中,相较于DB-8201a,DB-1303也表现出优异的稳定性及有效载荷的系统清除率,其可能通过保持疗效并降低游离有效载荷的系统毒性风险,从而有助于实现更好的安全性。同时在临床中,未发生导致死亡或停药的TEAE。未发生特别关注的不良事件,亦未从剂量递增中观察到DLT。
商业化方面,早在临床数据首次公布之前,2023年4月,映恩生物就与BioNTech达成合作协议,授权DB-1303和B7H3 ADC新药DB-1311的大中华区外全球权益。映恩生物获得1.7亿美元预付款、超15亿美元里程碑金额,以及一定比例的销售分成。2025年1月13日,沈阳三生与映恩生物就DB-1303再次达成合作协议,其将获得DB-1303多个适应症在大中华区的商业化权利。映恩生物将获得2500万美元不可退回首付款,并有资格获得至高4200万美元的研发里程碑、以及潜在额外的销售里程碑付款。
自此,映恩生物将DB-1303的所有权益授出,作为biotech来说,实现了产品价值的最大化。整体上DB-1303通过差异化的结构设计,转化出更优的有效性数据,同时安全性方面提升明显,特别是在后DS-8201时代,映恩生物借助出海外部资源,结合对全球监管的深刻理解,采用了差异性的临床推进策略,加速产品的快速上市,病为上市商业化做好充分准备。
2
DB-1305
DB-1305是映恩第二款进入临床的ADC药物,靶向TROP-2,通过基于马来酰亚胺四肽的可裂解连接子,与拓扑异构酶I抑制剂有效载荷P1021共价连接,DAR值为4,和Dato-DXd整体构建类似。DB-1305于2022年6月首次申请临床,目前最快进度为临床I/IIa期。
DB-1305产品结构比较

来源:BioNtech官网
在2023年ESMO会议期间,映恩生物首次报告了DB-1305在多种实体瘤患者中的初步临床数据。,截至2023年4月7日,在接受过大量预先治疗的晚期实体瘤患者中,DB-1305的未确认的ORR为30.4%,未确认的DCR为87.0%。在23名接受基线后肿瘤扫描的患者中,未确认的ORR为46.2%,未确认的DCR为92.3%。安全性方面,所有TEAE在较低剂量水平下通常可控,所有患者中报告的3级或以上TRAE发生率为34.1%(15/44),且血液相关TRAE发生率低。
DB-1305初步临床数据

来源:BioNtech官网
目前DB-1305正在多种晚期实体瘤中进行一项I/IIa期临床试验,除了典型的非小细胞肺癌和三阴乳腺癌,未来DB-1305也将在卵巢癌中探索差异化的临床开发策略。基于其巨大的商业化的潜力,2023年8月,映恩生物宣布与BioNTech达成扩展合作协议,在大中华区以外共同推进DB-1305的开发、生产和商业化。
3
DB-1311
DB-1311是映恩第三款进入临床的ADC药物,靶向B7H3,抗体部分来源于药明生物,通过基于马来酰亚胺四肽的可裂解连接子,与拓扑异构酶I抑制剂有效载荷P1021共价连接,DAR值为6,和DS-7300a整体构建类似。DB-1311于2022年6月首次申请临床,目前最快进度为临床I/IIa 期。
DB-1311产品结构

来源:映恩招股说明书
2024年ESMO会议期间,BioNtech和映恩公布了DB-1311首次临床数据。截至2024年09月27日,研究共入组277例实体瘤患者,肿瘤类型包括但不限于SCLC、NSCLC、CRPC以及HNSCC,美国和澳大利亚共入组130例,约占47%。
SCLC患者中(n=73),uORR为56.2%,DCR为89.0%。绝大部分SCLC患者接受了6mg/kg和9mg/kg DB-1311/BNT324治疗,两组之间uORR无明显差异,分别为54.5%和58.8%。值得注意的是,在9mg/kg剂量水平下,既往接受过免疫治疗、但未接受过拓扑异构酶I抑制剂治疗的SCLC患者中,uORR为70.4%。
NSCLC患者中,大部分为非鳞癌(n=41),uORR为22.0%;鳞癌患者(n=25),uORR为16.0%。CRPC患者中(n=32),DB-1311/BNT324表现出早期抗肿瘤活性,uORR为28.0%,DCR为92.0%,rPFS数据尚未成熟,中位rPFS为7.2个月,6个月rPFS率为94.7%。
其他瘤种中,如宫颈癌(n=4)、肝细胞癌(n=12)、头颈部鳞癌(n=3)和黑色素瘤(n=11),DB-1311/BNT324同样表现出一定的抗肿瘤活性,uORR分别为75.0%、25.0%、100.0%和36.4%。
安全性方面,DB-1311/BNT324在所有接受治疗的肿瘤患者中(n=277)表现出可管理的安全性。最常见的TRAE为恶心、中性粒细胞计数降低、贫血、白细胞计数降低、食欲降低和血小板计数低。
目前,B7H3方面竞争较为激烈,几款ADC药物的初步临床结果处于同一水平,第一三共、翰森制药和宜联生物处于更领先的位置,已经进入III期,同时还将进一步受到DLL-3 ADC的挤压,未来DB-1311还需要继续借助于和BioNtech合作全球资源优势,加速药物的上市进程。
4
DB-1310
DB-1310是映恩开发的第四款ADC药物,靶向HER3,抗体部分授权来自北京先通,通过基于马来酰亚胺四肽的可裂解连接子,与拓扑异构酶I抑制剂有效载荷P1021共价连接,DAR值为8,和Patritumab Deruxtecan整体构建类似。DB-1310于2023年3月首次申请临床,目前最快进度为临床I/IIa期。
根据映恩公布的DB-1310首次临床数据显示,。截至2024年5月17日,在可评估疗效的18名EGFRm NSCLC患者中,DB-1310在1.5至5.5mg/kg的所有剂量水平上实现了39%(7/18)的未确认的ORR及94.4%(17/18)的DCR。
DB-1310初步临床数据

来源:映恩招股说明书
安全性方面, DB-1310具有可接受及可控的安全性。TEAE的发生率为91.2%,3级或以上TEAE的发生率为29.8%。TRAE的发生率为80.7%, 3级或以上TRAE的发生率为19.3%。
未来,DB-1310将在差异化EGFRm NSCLC联合疗法策略,同时还将在入乳腺癌、KRASm NSCLC、前列腺癌等多个实体瘤中开展单药或者联用的临床试验,全力加速产品上市进程。
随着映恩ADC产品的不断在临床确认,其对外合作进行了进一步的合作的同时,也在转向全面创新的产品开发。B7H4 ADC抗体的全球权益授权给百济神州,同时Adcendo也与映恩生物进一步扩大战略合作,借助映恩生物创新ADC平台技术开发更多ADC药品。
自主产品线方面,除了迭代的ADC药物,映恩也双抗ADC、新平台和自免领域方面了开发了多款新型ADC药物。目前映恩已经公开了两款双抗ADC药物,一款为靶向PD-L1/B7-H3的DB-1419,一款靶向EGFR/HER3的DB-1418。
5
DB-1419
PD-L1/B7H3双抗ADC药物DB-1419已经进入I期临床,DB-1419构型采用采用PD-L1双抗的重链C末端融合B7H3纳米抗体,其中PD-L1抗体和B7H3纳米抗体均为达石药业自主开发的人源化抗体。亲和力方面,与PD-L1的亲和力更高,与B7H3的亲和力更低一些。ADC构建方面,采用其自主开发的拓扑异构酶抑制剂毒素P1003,DAR值为6。DB-1419结构与功能

来源:AACR ENA 2024
基于对PD-L1特定肿瘤免疫调节作用,DB-1419在体外的多种肿瘤细胞显示了协同作用,在体内免疫重构模型中,DB-1419也比B7H3的单抗ADC药物,体现出更强的抗肿瘤活性。
DB-1419临床前体内抗肿瘤活性

来源:AACR ENA 2024
食蟹猴中的PK及初步毒理实验显示,药物稳定性良好,HNSTD达到120 mg/kg,基于其迭代性的创新设计,未来有望在小细胞肺癌等多种肿瘤中带来治疗突破。
6
DB-1418
EGFR/HER3的双抗ADC药物DB-1418虽然还处在临床前,但受到外部青睐。2024年1月7日,映恩生物以5000万美元预付款,约11.5亿美元里程碑金额,将DB-1418的大中华区外全球权益授权给Avenzo Therapeutics。
DB-1418通过一个可裂解连接子与拓扑异构酶I抑制剂有效载荷P1021结合而组成,DAR值为6。虽然和百利天恒的同为2+2的四价抗体结构设计,但是在亲和力设计方面具有显著差异。
DB-1418产品结构

来源:映恩招股说明书
具体来看,映恩双抗与人EGFR亲和力,比百利天恒的对照抗体SI-1X6.4弱约15倍,而与HER3的亲和力比对照抗体SI-1X6.4强25倍。这样的双抗亲和力设计可以减少双抗对广泛分布表达的表达EGFR正常组织的在靶毒性。体外活性活性方面显示,DB-1418同时与EGFR和HER3结合,可能产生协同抗肿瘤作用,与传统单特异性ADC相比,显著提高了其治疗效果。在临床前研究中,DB-1418在6mg/kg的NCI-H1975模型(EGFR++, HER3+)中实现了99.32%的肿瘤生长抑制,显著高于HER3靶向ADC药物53.88%的肿瘤生长抑制。
DB-1418临床前结果

来源:映恩招股说明书
由于EGFR可以和多种配体结合,且一旦内吞,配-受合物可以循环到细胞表面。ADC循环可能会导致溶酶中有效载荷处理效率低下,并可能导致抗EGFR、单特异性ADC的耐药机制,未来DB-1418的一大优势是能够克服传统EGFR靶向疗法的耐性,在多种实体瘤中的表现值得期待。
7
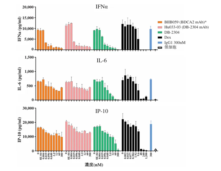
DB-2304
DB-2304为映恩生物首款进入临床阶段的自免领域ADC药物,目前正在系统性红斑狼疮等多种自免疾病中开展I期临床试验。DB-2304采用结合专有的GR激动剂进行偶联,DAR值为4。DB-2304旨在将BDCA2靶向单抗(由IFNα抑制显示)及GR激动剂有效载荷(由IL-6及IP-10抑制显示)介导机制的功效相结合,临床前研究亦显示,DB-2304在抑制IFN-I及促炎细胞因子的产生方面表现出具有协同作用的更强效力。
DB-2304临床前结果

来源:映恩招股说明书
综上所述,映恩生物快速构建的ADC药物研发平台,具有显著的技术优势,其产品管线丰富且临床表现优异。运营层面通过内外部资源的整合,定位清晰,基于BioNTech、GSK、Avenzo、Adcendo、三生制药和百济神州等国内外药企的合作,推动ADC药物的全球开发和商业化,映恩生物不仅提升了其药物的全球开发速度,还进一步巩固了其在ADC领域的市场地位。
未来,随着更多创新产品的临床推进和商业化落地,基于清晰的研发策略,映恩生物有望为全球患者提供更具创新的ADC药物产品。
产业资讯
药智网
2026-04-23
26
产业资讯
医药笔记
2026-04-23
24
产业资讯
氨基观察
2026-04-23
47
热门资讯