产业资讯
瞪羚社
2025-03-22
1133
自免每一个适应症的市场潜力,都值得被重视。
其中重症肌无力治疗药物市场正在快速成长,Argenx的主打单品艾加莫德首个获批适应症正是重症肌无力(2021年12月美国获批),如今2024年超过22亿美元的销售额。
如今,国内一家老牌biotech的老牌主打单品将迎来相关的重要催化——据荣昌生物公告,泰它西普将会在美国神经病学会年会(AAN)上公布重症肌无力国内III期数据。
AAN年会是世界上规模最大的神经科学盛会之一,而泰它西普的国内三期数据以口头报告的形式在大会上呈现,显然也代表了数据结果的优异性,而这一数据,也为泰它西普未来的出海交易增加了更多份量。
荣昌生物的市值一度被现金流的阴霾打到很低的位置,长期的低估下,快速的反转有望到来。
01
重症肌无力与相关市场
重症肌无力(myasthenia gravis,MG)主要是由乙酰胆碱受体抗体介导的一种获得性神经-肌肉接头(neuromuscular junction,NMJ)传递障碍的器官特异性自身免疫性疾病。简单来说,它的患病原因归根结底与免疫功能紊乱:大约85%的MG由针对乙酰胆碱受体(AChR)抗体所致,AChR抗体以高亲和力与运动终板结合,通过补体激活、AChR受体交联或乙酰胆碱结合位点的直接阻断导致AChR功能障碍或丧失,从而引起信号转导受损和肌肉无力。
更加详细的机制阐述如下图所示:乙酰胆碱受体(AChR) 重症肌无力的终板病理有三种机制:1) 抗体与 AChR 结合并激活补体,导致局灶性终板溶解;2) 抗体交联相邻的 AChR,导致内化和降解;3) 抗体直接与乙酰胆碱 (ACh) 结合位点结合,阻断 ACh 的进入。

(图片来源:Current Treatment, Emerging Translational Therapies, and New Therapeutic Targets for Autoimmune Myasthenia Gravis)
当然,后面随着更加深入的研究发现,不止乙酰胆碱受体抗体参与发病,其发病还与其它几种抗体相关。而归根结底,重症肌无力的发病就是某几种抗体在体内的含量上升导致的。
对于自免类型疾病,传统的治疗方法自然是糖皮质激素,此外,由于重症肌无力与乙酰胆碱受体有关,还可以通过乙酰胆碱酯酶抑制剂来增加乙酰胆碱的水平。但到了之后的靶向药大分子时代,一切都似乎有了更好的选择。
近年来,以其成名的大单品为argenx的艾加莫德,是全球首个开发及获批的FcRn拮抗剂。FcRn是一种位于细胞膜表面的lgG抗体受体,也被称作“新生儿”Fc受体。艾加莫德对于FcRn的亲和力高于IgG的Fc片段的亲和力,当艾加莫德与FcRn结合之时,致病性IgG就无法再与FcRn结合,这会使得IgG更多进入溶酶体降解,从而使自身抗体循环水平迅速降低。具体作用机制如图所示。

(图片来源:Efgartigimod as a novel FcRn inhibitor for autoimmune disease)
叙述完机制,再说市场,对于自免类药物进军重症肌无力,艾加莫德的商业化放量就是一个非常不错的参照。全球市场来说,艾加莫德于2021年获批治疗重症肌无力,在2024年6月其皮下剂型获批治疗CIDP(慢性炎性脱髓鞘性多发性神经根神经病)。
从艾加莫德上市以来,每个季度的放量数据均为很好的参考,如图所示是argenx营收的单季度数据。从2022年Q1的2100万美元2024年Q2的4.78亿美元,仅仅过去两年时间,艾加莫德在海外单季度的放量,就已经接近5亿美元。而后来有了CIDP适应症的加持,更是使得其Q4单季度的放量超过了7亿美元。其三年来的营收的复合增长率达到了134%。

(图片来源:argenx官网PPT)
国内市场方面,艾加莫德的权益在再鼎医药手中,国内2023年6月30日获批上市治疗重症肌无力,2024年11月获批治疗CIDP。因此,从2023年到2024年全年的放量大概能代表艾加莫德在中国的销售额。
2024年,其销售额达到了9360万美元,换算成人民币大约在6-7亿人民币之间,要知道,它在年初的指引才7000万美元,大幅超过了此前的预期。而目前只是它在中国首个上市的完整年。之后还有更多的潜力值得挖掘。
国内销售峰值方面,再鼎给艾加莫德在国内定的销售峰值目标是10亿美金——直接在国内造出一个重磅炸弹,利用国内的自免市场。
如果艾加莫德可以,那么泰它西普,是否也能从中切下一大块蛋糕?
02
泰它西普商业化前奏曲
荣昌生物的泰它西普(RC18),是荣昌第一个上市的药物,被视为荣昌生物扭亏为盈的重要支柱之一,如今这份期待仍然没有变。
先介绍机制,它是一款很有特色的双靶点融合蛋白。泰它西普是一种双特异性融合蛋白,能够同时结合并中和B细胞活化因子(BLyS)和增殖诱导配体(APRIL)。这两种因子在B细胞的成熟、存活和分化中起关键作用——它们参与前B淋巴细胞发育为成熟B细胞,最终发育成为专职产生抗体的浆细胞的整个过程。通过阻断BLyS和APRIL的信号通路,泰它西普能够有效减少B细胞的数量,降低自体抗体的产生,从而减轻自身免疫反应。具体结构如下图所示。

(图片来源:荣昌生物官网)
泰它西普附条件批准于2021年,用于治疗SLE(系统性红斑狼疮)。之后放量方面,2021年泰它西普销售额为4730万元,2022年进医保,价格降低了68.34%,不过以价换量还算成功,其销售额在2022年达到了3.3亿元;再后来,仅2024年上半年,泰它西普的销售额就达到了4.22亿元。目前期待2024年全年的好消息。荣昌生物在商业化方面靠两条腿走路,RC18和RC48两个单品获批时间也相隔非常近,都在2021年上半年获得批准,到了如今,荣昌生物2024年的销售额达到了17.15亿元,同比增长58.4%,即便坎坷和质疑之声不断,荣昌生物还在前行着。
03
重症肌无力交响乐
属于泰它西普在重症肌无力上的交响乐,即将开始演奏。2022年,其就被CDE纳入重症肌无力的突破性治疗品种,同年,它获得美国FDA 授予的用于治疗重症肌无力 (MG) 的孤儿药资格,可以说该给的牌面都已经拉满。
临床数据上,它目前也有临床II期的track record——其临床II期数据目前已经登载在期刊《European Journal of Neurology》(IF=5.1)上。
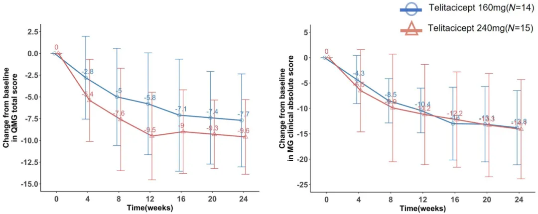
相关设计如下,经过排除后29名患者进入临床,分别以1:1进行分组接受160mg和240mg泰它西普注射。在这个过程中,主要衡量的指标是QMG(量化重症肌无力量表)评分的下降程度和重症肌无力临床绝对评分的下降程度,患者基线上,160mg组患者的QMG平均评分为18.4,而240mg组患者的QMG评分为19.3,绝对评分上分别为23.1和24.8;所有患者的乙酰胆碱受体抗体的测试均为阳性。

(图片来源:A multicenter,
randomized, open‐label, phase 2 clinical study of telitacicept in adult patients
with generalized myasthenia
gravis)最后的临床结果如图所示,第24周时,在QMG评分上,160mg组平均下降7.7分,而240mg组平均下降达到了9.6分;在临床绝对评分上,分别下降12.1和14.1分。

(图片来源:A multicenter,
randomized, open‐label, phase 2 clinical study of telitacicept in adult patients
with generalized myasthenia
gravis)临床II期效果还算非常显著,这是毋庸置疑的。临床III期的主要临床终点上可能会有变化,QMG量表会成为关键次要终点,主要临床终点为重症肌无力-日常生活活动(MG-ADL)
评分,该量表评分范围为0-24分,评分越高,说明病情越严重。
这里我们可以进行几款药物疗效的对比,近期相关的三期临床是安进的半年一针CD19单抗——伊奈利珠单抗,它最终的MG-ADL评分下降程度来看,,在第26周时,治疗组为评分变化为-4.2,而安慰剂组为-2.2。
此外,对于次要终点QMG量表来看,该单抗的表现不如泰它西普:QMG量表的平均变化评分为-4.3分,而且时间长达52周。从这个角度来看,泰它西普下降的分数已经非常可观,可以给出较为乐观的预期,并隐隐有成为Best in class的潜质。

此次公布结果的国内临床三期临床数据被囊括在全球多中心三期临床研究中,2024年8月泰它西普的三期临床在美国完成了第一例患者给药,国内三期的成功无疑将给到海外三期成功非常大的助力,未来若海外三期顺利完成,那么这款药即便交给CSO,或许也有非常可观的销售收入,但这种模式就不是低双位数或者中位数的销售分成了,将会是销售额50%+的高额回报。
结语:泰它西普的重症肌无力作为该药的第三项适应症已在2024年10月已经申报上市,而这一适应症的获批也将在未来给其商业化加速带来极大的动力,从而加速荣昌生物的现金流回正进程;而更大意义在于,国内三期以大优势的临床结果取得成功,将有望对海外临床队列带来极大的正向影响,这个价值或许足以让公司市值进行一次大的修复。
产业资讯
医麦客
2026-04-20
149
产业资讯
生物制品前沿动态
2026-04-20
148
产业资讯
医药地理
2026-04-20
148
热门资讯