EN
产业资讯 政策法规 研发追踪 医改专题
全球首个二价新冠疫苗2/3期临床结果公布,有效性是当前最好疫苗的2倍多,秋季开打
研发追踪 深究科学 2022-04-24 5272

导读

mRNA-1273.211是全球首个二价新冠疫苗,它同样来自美国知名生物公司莫德纳(Moderna),是其已获批的mRNA-1273疫苗的“改良版”。 2022年4月19日,莫德纳公布了其研发的二价疫苗mRNA-1273.211的2/3期临床研究数据。 数据显示,在该疫苗的2/3期临床研究中,mRNA-1273.211在安全性和免疫原性上均有较好的表现,有效性方面,比莫德纳现有的新冠mRNA疫苗还强2倍。预计今年秋季在部分国家将作为加强针开打。 值得一提的是,最近在新加坡一组大型的真实世界数据中,莫德纳的新冠疫苗mRNA-1273表现最好,其次是辉瑞的,再之后就是中国生物和科兴的新冠疫苗。 值得一提的是,我国制药公司丽珠集团也正在开展Beta/Delta的二价新冠疫苗的开发。

01.二价新冠疫苗mRNA-1273.211的基本概况

二价新冠疫苗?可能很多人听起来一头雾水,我们先来解释下。

莫德纳的初始mRNA疫苗命名为mRNA1273,所谓的二价疫苗mRNA-1273.211是由一半原始SARS-CoV-2毒株、一半Beta毒株组成的抗原(原始SARS-CoV-2和Beta变异刺突蛋白的 mRNA 量相等)混合制成的新疫苗。

如果还不理解的,可以类比一下多价HPV疫苗,马上就能领悟二价是什么意思。

回到这篇论文,已在预印本上发表,文章题为Safety, Immunogenicity and Antibody Persistence of a Bivalent Beta-Containing Booster Vaccine。

在这项2/3期试验中,莫德纳评估了mRNA-1273.211在mRNA-1273接种完成8.8-9.8个月后,首次作为加强针的使用情况,并用了两种不同剂量的安全性和免疫原性来评估这个二价疫苗的表现。

在该临床研究中,受试者为895名,均为18岁以上,分布于美国9个临床中心,均已在至少6个月前接种完标准的两剂mRNA1273疫苗。 加强针受试者接种的都是mRNA-1273.211疫苗,其中300人接种了50µg剂量,其余595人接种的是100µg剂量。 下表为参与该临床研究的人员分布详情。

02.二价新冠疫苗mRNA-1273.211的安全性如何?

试验结果显示,在安全性方面,两种疫苗(原型mRNA-1273与二价疫苗mRNA-1273.211)的数据相当。

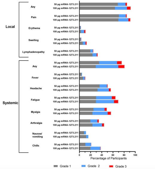
该临床研究的安全性指标是接种后7天内发生的任何局部和全身不良反应的数量和百分比,具体数据如下图。

上图中,灰色的Grade 1表示不良反应轻微,为一级反应,蓝色为不良反应中等(二级),红色为三级。

分析一下上图的信息:

注射50 µg剂量mRNA-1273.211后受试者7天内最常见的局部不良反应是注射部位疼痛(85%; 253/298),最常见的全身性不良反应包括疲劳(64%;192/298)、头痛(51%;151/298)和肌痛(49%;146/298)。

注射100 µg 剂量 mRNA-1273.211的最常见的局部不良反应是注射部位疼痛(91%; 542/593),最常见的全身不良反应是疲劳(70%; 413/593)、头痛(56 %;333/593)和肌痛(56%;335/593)。

在接受50 µg二价疫苗的参与者中,大多数人的不良反应是轻微的。接受100 µg二价疫苗的参与者中,大多数人的不良反应是轻微或中度的。 总体而言,50 µg剂量的mRNA-1273.211与mRNA-1273初级系列的反应原性特征相当,而100 µg剂量的mRNA-1273.211局部和全身不良反应的发生率更高。

03.二价疫苗的有效性数据初步解析

在免疫原性方面(即有效性方面),接种加强针28天和180天后,使用二价疫苗作为加强针的抗体水平高于使用原始疫苗,包括针对原始毒株、Beta变异株、Delta变异株和Omicron变异株。

在接种50 µg mRNA-1273.211和50 µg mRNA-1273加强针后,中和抗体几何平均滴度

以Omicron变异株为例,50 ug二价疫苗在加强接种后28天和180天的中和抗体水平分别是原始疫苗的2.20和2.15倍。 初步分析mRNA-1273.211疫苗临床数据后,我们接下来可以再看看详细的数据。 mRNA-1273疫苗和mRNA-1273.211二价疫苗,针对原始毒株和Beta毒株的中和抗体产生情况(如下列图所示)。

针对原始毒株、Beta、Omicron和Delta,50-µg的mRNA-1273/mRNA-1273.211加强针,中和抗体的产生情况。(见下图)

最后,我们再附上针对不同毒株,50 µg以及100 µg的mRNA-1273.211疫苗,或50µgmRNA-1273加强针的抗体产生情况。(见下图)

04.写在最后的话

本论文的研究结果表明,二价疫苗mRNA-1273.211作为加强针可诱导有效且持久的抗体反应,或能为应对新出现的变异株提供更好的接种方案。 根据莫德纳的说法是,他们仍在评估获得的数据,预计今年秋季可以在北半球部分国家开打。mRNA-1273.211疫苗主要作为加强针来进行接种。

虽然mRNA-1273.211疫苗并非Omicron毒株的专属疫苗,但仍然体现出对Omicron良好的中和反应。

值得一提的是,我国制药公司丽珠医药目前也正在开展Beta/Delta二价疫苗方面的工作,此前还有传闻其正在开发四价新冠疫苗。4月2日,丽珠集团对此予以否认,称“暂未开展新冠四阶疫苗的研发”。

面对Omicron以及将来可能出现的新的变异体,无论是Omicron的新分支还是全新的变异株,如何研制出保护力更强更持久的疫苗,是目前各国疫苗开发工作中非常重要的一环。我们也希望国内医药企业也加紧做好这方面的疫苗研发。

英文原文:https://www.researchsquare.com/article/rs-1555201/v1