医改专题
赛柏蓝
2026-03-10
2013
2026年药品价格治理新变化。
01
多批药品挂网审核结果公示
高价为主要被拒原因
3月以来,河北省医用药品器械集中采购中心连续公示药品挂网审核结果,“价高不符合”是药品挂网被拒的重要原因。
3月6日,河北药械集中采购中心对部分独家药品挂网资格予以公示。其中,17个独家药品不符合挂网条件,9个因报价过高被拒,涉及非那雄胺喷雾剂(18ml:40.95mg,每瓶180喷,每喷含非那雄胺114μg)、注射用头孢拉定(按C16H19N304S计0.5g)等。

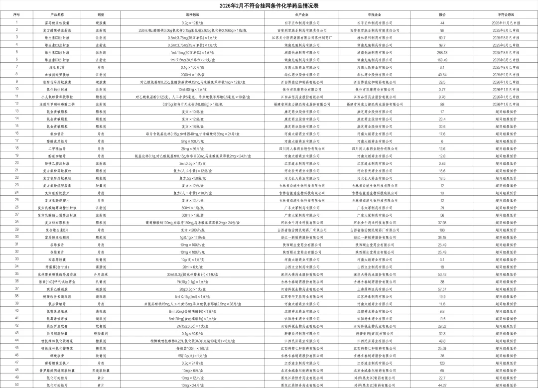
同期,河北还公示了2026年2月份挂网药品审核结果,104个化学药品未通过审核,包括布洛芬胶囊(10g/支×1支/支)、盐酸左氧氟沙星胶囊(0.2g(以C18H20FN3O4计)×12粒/盒)等。
从违规类型看,104个未通过药品中,64个因报价超出同组最低价被拒,占比超六成;4个因同企业产品间不符合差比价规则未通过;还存在重复申报、项目报错、已挂网等非价格类违规。

挂网审核名单显示,此次报价最高的品种为深圳市中核海得威生物科技有限公司生产的尿素[14C]呼气试验药盒,单价达2040元/盒。值得注意的是,该品规状态标注为“已挂网”。
根据河北省发布的《关于补充完善药品挂网实施方案的通知》,化学药品规范挂网时确定的本组最低价保持不变,新申请挂网的药品价格不高于原确定的本组最低价和全国最低挂网交易价的,可以挂网。
事实上,药品挂网审核已成为河北药价监管的常态化动作。赛柏蓝梳理发现,几乎每个月河北都会发布相关审核结果,且价格监管尺度持续收紧。如2月份河北公示的部分符合挂网条件药品通知中,26个独家药品不符合挂网要求,其中5个因价格不符合规定被拒,而3月这一比例有所提升。
02
挂网药品价格治理工作铺开
多地明确药品范围、时间点
从全国范围来看,地方药价常态化监管已形成趋势。除河北外,近期宁夏、云南、山东、江苏等省份均已启动药品挂网价格治理工作。
山东省在《关于开展挂网药品价格联动专项调整工作的通知》中明确,相关企业应按照系统推送的锚点价格(“四同”药品为全国最低挂网价),主动接受价格调整。未接受价格调整或申诉不成立的,予以暂停挂网。
宁夏开展“四同”“三同”药品回头看暨非全国最低价挂网药品价格治理,涉及832家药企,明确要求相关药企在3月6日至3月15日期间完成调价申请,进一步压缩药品价格虚高空间。
从各省的动作来看,呈现差异化。如山东省以主动调价与暂停挂网为核心,强调企业自主合规,通过系统推送锚点价格,倒逼企业主动适配价控要求;宁夏以回头看与明确调价时限为重点,侧重存量清理与限期整改。
地方层面密集动作的背后是国家政策的引导,宁夏此次价格治理工作,正是按照国家医保局办公室《关于2026年深化医药价格治理重点工作的通知》要求推进。药价治理从国家向地方层层推进。
按照上述通知,国家集采、省级和省际联盟集采以及其他药品都将开展药品价格风险“红黄标”预警标识。按照时间安排,各地于2月中旬前完成国家集采相关药品价格风险“红黄标”预警标识;3月底前完成联采药品价格风险“红黄标”预警标识。
03
跨区域药品价格比对
不同规模药企影响分化
药品价格治理迈入新阶段,此前药价治理多以阶段性专项行动为主,而河北每月常态化审核,其他省份也相继公布挂网药品价格治理新动作,叠加国家层面“红黄标”预警机制在各省的落地,药价监管常态化。
与此同时,价格联动成为各地药价治理的核心逻辑,河北要求新挂网药品不高于同组最低价,山东锚定全国最低挂网价推进价格联动,宁夏开展“四同”“三同” 药品回头看,均通过跨区域价格比对,倒逼药企合理定价。
医药价格治理的持续深化,逐步影响药企经营以及行业竞争格局。
多家上市药企已在公告中披露药价治理带来的经营影响,津药药业在2024年年报事后审核问询函回复中称,其所有类型制剂毛利率均出现下降,主要受市场环境、宏观政策及医药价格治理等因素导致的产品价格下降影响;广誉远则表示,在国家医保局2024年基本完成“四同药品”价格治理后,其正积极响应政策,根据挂网监测价自查自纠,规范产品价格体系并做好多渠道终端价格管理。
从行业格局来看,药品挂网价格治理的收紧,对不同规模药企影响不一。头部药企凭借规模优势与市场化定价能力,有望进一步提升市场集中度;中小药企在无法满足价格调整的要求下,或将面临药品挂网被拒、退出市场的风险。
附:2026年2月不符合挂网条件化学药品情况表


医改专题
健识局
2026-05-21
433
医改专题
医药经济报
2026-05-20
472
医改专题
赛柏蓝
2026-05-19
530
热门资讯